2015年7月14日,Monthly Notices of the Royal Astronomical Society (《英国皇家天文学会月刊》)在线发表了中科院紫金山天文台季江徽课题组的关于近地小行星(101955)Bennu表面热物理性质的研究成果,揭示了该小行星表面热惯量与表壤颗粒尺寸等重要物理信息,这些对深入了解近地小行星轨道漂移与起源演化具有重要意义。
小行星绝大多数分布于火星和木星轨道之间的主带区域。小行星上可能蕴含了地球生命和水体起源的重要线索,同时也蕴藏着太阳系形成初期的原始信息,因而具有重要的科学研究价值。另外有一些小行星(近地天体)轨道与地球轨道很接近或相交,存在与地球相撞的可能,因此对地球与人类的安全构成了潜在的危险。2013年2月15日,一颗直径约15m的小天体在俄罗斯车里雅宾斯克空中发生爆炸,致使1200人受伤,近3000座建筑受损,此类事件并非偶然几十年内可发生一次。正是近地天体对地球与人类生存的构成了重大威胁,因此国际上航天大国也纷纷将近地小行星作为深空探测的热点(如我国嫦娥二号探测Toutatis小行星、日本隼鸟号探测Itokawa小行星、美国尼尔号探测Eros小行星等),期望通过近距离空间探测来细致了解其物理特性、内部结构与组成成分等,将来面临危险时方能采取合理的减缓措施。
(101955)Bennu最早发现于1999年9月11日,它是一颗光谱型为B型的阿波罗型近地小行星,保存着太阳系形成初期的原初物质。由于其轨道与地球轨道很接近,具有很高的撞击地球危险性,据信其撞击概率高达3.7×10-4。此外这颗小行星具有明显的Yarkovsky轨道漂移效应,其半长径偏移速率为-(19.0±0.1)×10-4au Myr-1(大约300米/年)。这种明显的轨道漂移效应会逐渐改变其轨道,结果很可能与地球发生碰撞。因此该小行星倍受国际上天文研究机构关注。
NASA将在2016年末发射OSIRIS-REx(“起源、光谱释义、资源识别、安全、风化层探测器”)探测器对Bennu开展全面科学勘察,并带回大约60克的样品返回地球进行深入研究。OSIRIS-REx任务的科学目标是研究早期太阳系的组成,在地球上形成生命的有机物和水的来源,以及更好的预测对地球有碰撞威胁的小行星的轨道。该项任务计划于2018年到达目标小行星, 并在2023年采样返回地球。
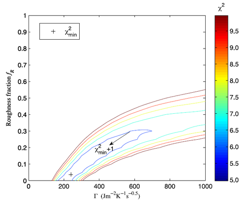
紫台行星科学研究团队基于目前国际上先进的小行星热物理模型和Bennu最新的三维形状模型,利用空间望远镜Spitzer-PUI, Spitzer-IRAC, Herschel/PACS和地面望远镜ESO VLT/VISIR的多组热红外观测数据,首次同时限定出小行星Bennu表面热惯量、粗糙度等表面物理性质的1σ范围(图1),得到其热惯量为240+440-60Jm-2s-0.5K-1,粗糙度为0.04+0.26-0.04,几何反照率为0.047+0.0083-0.0011。热惯量是描述小行星表面热状态和物质颗粒状态的重要物理量。这些结果不仅为更准确地研究小行星Bennu的轨道漂移提供了科学依据,更为OSIRIS-REx探测任务提供重要的科学参考。
紫台研究人员根据推算的表面热惯量值与其表面温度分布(图2),进一步估计了小行星Bennu表面物质颗粒尺寸的范围约为1.3~31mm(图3),这说明该小行星表面可能大部分区域为表壤所覆盖,但可能存在少量的岩石。这些研究成果,很大程度上支持了NASA OSIRIS-REx任务Touch-And-Go采样机制的可行性。更重要的是,这些研究方法将来可应用于我国未来的小行星深空探测任务,不仅能提供探测目标小行星的表面反照率、粗糙度及热惯量等关键科学参数,还对认知深空探测器的临近辐射环境和附着与采样环境、为科学载荷的设计与研制等提供重要的工程应用价值。
该工作的第一作者是紫金山天文台余亮亮硕士。
该项研究工作得到了中国科学院行星科学重点实验室、中国科学院天文战略性先导科技专项(B类)、中国科学院新兴与交叉学科布局项目、国家自然科学基金、江苏省自然科学基金等项目资助。
文章链接:http://mnras.oxfordjournals.org/content/452/1/368.full

图1 Bennu小行星热惯量与粗糙度在二维参数空间分布

图2 Bennu小行星表面温度分布模拟

图3 Bennu小行星热惯量与表面物质平均颗粒尺寸的关系