我们赖以生存的地球无时无刻不在经受来自外太空中高能粒子的轰击,这些粒子包括各种原子核、正负电子、高能伽马射线和中微子等,它们统称为宇宙线。人类对宇宙线的观测和研究已经长达一个世纪。宇宙线曾经对基本粒子物理学科起到了非常重要的作用,人们从宇宙线中发现了一大批新粒子。宇宙线和物质的相互作用就像天然的对撞机,而其能量可以远远高于人造加速器的能量,给我们提供了丰富的关于物质基本结构及其相互作用规律的知识。宇宙线同时携带了宇宙中极端天体现象和环境的信息,对相关天体物理研究也意义重大。但时至今日,关于宇宙线的起源、加速机制以及它们在星际空间和星系际空间中的传播及相互作用等基本问题依然没有得到彻底的解答。
质子是宇宙线中丰度最高的粒子,占比约90%。对质子能谱的精确测量有助于理解宇宙线物理的基本问题。事实上,由于巨大的技术挑战,宇宙线的直接观测长期以来进展缓慢,而且测量误差很大,直到本世纪才陆续取得突破,并对传统理论模型带来挑战。例如,经典的宇宙线加速和传播模型预测宇宙线能谱应服从幂律分布。然而近些年的直接观测实验(如气球实验ATIC、CREAM和空间实验PAMELA、AMS-02、CALET)发现质子能谱在数百GeV能量处出现拐折(能谱变硬,即高能粒子数目比按照单一幂律能谱外推显得更多),偏离单一幂律分布。经典理论模型不能解释该现象,理论家提出了多种模型来理解该能谱拐折的成因,区分这些模型急需更高能段的更加精确的能谱观测。其中一个核心的问题即在数百GeV至数百TeV能区中是否存在新的能谱结构。但是在TeV及更高能段,前述实验因测量手段以及测量精度的限制无法给出准确的探测结果,从而也无法对物理模型予以甄别。

图 1 “悟空”号电荷谱(左)和CALET探测器电荷谱(右)
我国于2015年底发射的首颗天文卫星“悟空”号的核心科学目标之一就是对宇宙线质子以及核素能谱进行精确测量,发现或排除新的能谱结构。与采用同类型探测器技术的国际空间站CALET实验相比,悟空号在统计量和电荷分辨能力上都更具有优势(见图1)。
北京时间2019年9月28日,基于其收集到的前两年半数据,“悟空”号国际合作组在Science Advances杂志发表了从40 GeV到100 TeV能段的宇宙线质子精确能谱测量结果,如图2所示。这是国际上首次利用空间实验实现对高达100 TeV的宇宙线质子能谱的精确测量,该能量上限比丁肇中先生领导的阿尔法磁谱仪(AMS-02)实验高出约50倍,比日本科学家领衔的CALET实验最新结果高出10倍。

图 2 “悟空”号探测的40 GeV-100 TeV能段宇宙线质子能谱(红点)。图取自DAMPE collaboration (2019, Sci. Adv., 5, eaax3793)
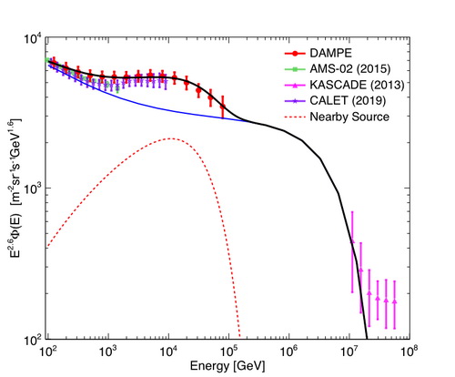
“悟空”号的测量结果确认了质子能谱在数百GeV处的变硬行为。更为重要的是,“悟空”号首次发现质子能谱在约14 TeV出现明显的能谱变软结构,这一新的结构很可能是由近邻个别宇宙线源留下的印记,拐折能量即对应于其加速上限(图3)。“悟空”号的结果对揭示高能宇宙线的起源以及加速机制具有十分重要的意义。

图 3 解释“悟空”号质子能谱的一个理论模型
2017年以来,“悟空”号相继在电子、质子宇宙线测量方面取得突破性进展,标志着我国的空间高能粒子探测研究已跻身世界最前列。“悟空”号目前已经进入延寿运行阶段,积累了大量的高质量数据。“悟空”号合作组将陆续发表宇宙线氦核及其他更重的核素能谱测量结果,可望测出不同宇宙线核素能谱拐折能量,这将为揭示高能宇宙线的加速机制或与星际介质的相互作用等物理问题提供关键信息。
论文链接 https://advances.sciencemag.org/content/5/9/eaax3793
悟空号是中国科学院空间科学战略先导专项所支持的空间科学卫星系列的首发星。该卫星的数据分析工作获得国家重点研发计划、国家自然科学基金委员会-中国科学院空间科学卫星联合基金、国家基金委杰出青年基金/优秀青年基金、中国科学院等项目的大力支持。